Не надейтесь избавиться от книг (Умберто Эко)
+371 27000041, +371 27000045
(в раб. дни 9:00-17:00 по латвийскому времени)
+371 27000041
+371 27000045

(в раб. дни 10:00-17:00)

Нутрициология. Основы питания человека

49.99 €
Нет в наличии
Нутрициология. Основы питания человека
49.99 €
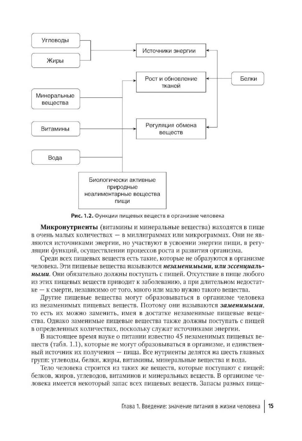
В издании представлены основные разделы науки о питании человека — нутрициологии. Систематизированы ключевые положения, проанализированы сведения о пище и пищевых веществах, процессах их потребления, усвоения, метаболизма, утилизации и выведения, а также факторы, влияющие на потребление и выбор пищи человеком. Впервые в отечественной литературе изложены основы эпидемиологии питания. Как отрасль нутрициологии, эпидемиология питания изучает количественные взаимосвязи характера питания с состоянием здоровья, рассматривает питание как фактор риска и как средство профилактики основных хронических неинфекционных заболеваний современного человека. В отдельной главе приведены принципы и правила здорового питания, базирующиеся на свободном выборе пищи.
Издание предназначено для нутрициологов, диетологов, врачей всех специальностей, студентов, аспирантов, научных работников медицинского профиля, для обучающихся в системе агропромышленного комплекса и пищевой индустрии, для работников, занимающихся обеспечением питания населения.
Смотрите также:

Возможно, вам будет интересно:

Беседуя с серийными убийцами. Глубокое погружение в разум самых жестоких людей в мире
Научно-популярная и познавательная литература
Беседуя с серийными убийцами. Глубокое погружение в разум самых жестоких людей в мире
Берри-Ди Кристофер
14.99 €
В корзину
Дресс-код. Голая правда о моде
Научно-популярная и познавательная литература
Дресс-код. Голая правда о моде
Арнтцен Мари Гринде
14.99 €
В корзину
Надзирать и наказывать. Рождение тюрьмы
Научно-популярная и познавательная литература
Надзирать и наказывать. Рождение тюрьмы
Фуко Мишель
14.99 €
В корзину
Почему одни страны богатые, а другие бедные
Научно-популярная и познавательная литература
Почему одни страны богатые, а другие бедные
Аджемоглу Дарон, Робинсон Джеймс
19.99 €
В корзину