Don't hope to get rid of books (Umberto Eco)
+371 27000041, +371 27000045
(on working days 9:00-17:00 latvian)
+371 27000041
+371 27000045

(on working days 10:00-17:00)

Deep learning

69.99 €
Out of stock
Deep learning
69.99 €
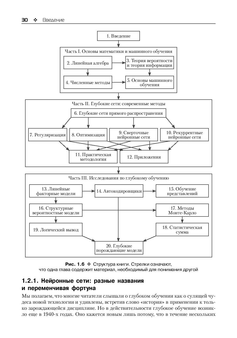
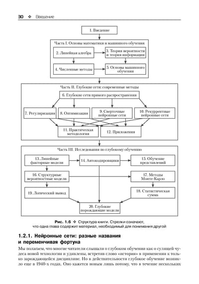
Deep learning is a type of machine learning that endows computers with the ability to learn from experience and understand the world in terms of a hierarchy of concepts. The book contains the mathematical and conceptual foundations of linear algebra, probability and information theory, numerical computation, and machine learning to the extent necessary to understand the material. Deep learning techniques used in practice are described, including deep feed forward networks, regularization, optimization algorithms, convolutional networks, sequence modeling, and others. Applications such as natural language processing, speech recognition, computer vision, online recommender systems, bioinformatics, and video games are covered.
The publication is intended for undergraduate and graduate students, as well as experienced programmers who would like to apply deep learning as part of their products or platforms.
See also:

You might be interested:

Excel 2019 User's Bible
Information technology
Excel 2019 User's Bible
Alexander Michael, Kusleika Richard, Wokenbach John
99.99 €
In basket
Java: Effective Programming
Information technology
Java: Effective Programming
Joshua Bloch
49.99 €
In basket
Computer Science: Basic Course
Information technology
Computer Science: Basic Course
Brookshire J. Glenn, Dennis Breeloff
99.99 €
In basket